-
1 Attachment(s)
Battery monitoring - ever tried AN1072?
Hi,
As some other threads around the forum about battery monitoring, I want to setup a battery monitoring system based on MICROCHIP's AN1072 "Measuring VDD Using the 0.6V Reference".
In short, it says:
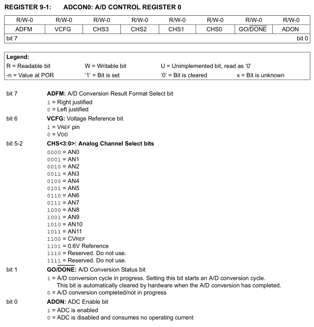
"To measure VDD, VDD should be selected as the reference to the ADC via VCFG, and the 0.6V reference selected as the input using the channel select bits, CHS<3:0>. A measurement of the 0.6V input is taken with the ADC, and the result represents 0.6 Volts as a percentage of VDD. As VDD increases, the resulting number will decrease and vice versa. This yields a direct “1/x” relationship between V DD and the produced digital value as seen in Equation 1. In short, given a specific VDD, the digital value is always the same. Working backwards, if the digital value is known, VDD may be calculated."
Attachment 8039
It tells you what you have to do and even how. Now guess: I can't make it work :o
I have a circuit using a 16F690 (great! same one as used in the AN!). For the test, the circuit is connected to my variable power-supply so I can simulate a low battery condition (i.e. from 6VDC, I go down to 5,5VDC*).
According to the AN1072, the ADCON0 register has been set to %10110101.
Now when I vary the voltage on the power-supply, I get always the same ADC reading (no value change at all).
What am I doing wrong?
NB*: Yes, I'm using a LDO voltage regulator so I could use another way to check the battery's condition (i.e. comparator or resistor-divider)...but I want to have a go with the AN1072 ;)
-
1 Attachment(s)
Battery monitoring - ever tried AN1072?
That's the ADCON0 register:
Attachment 8040
-
Re: Battery monitoring - ever tried AN1072?
I might have the wrong end of the stick here , but if you have a ldo reg suppling vdd won't you always read the regulated voltage. to read the battery voltage that way requires the battery be connected to vdd directly.
-
Re: Battery monitoring - ever tried AN1072?
Sorry Richard, I don't get what you mean.
-
Re: Battery monitoring - ever tried AN1072?
You need to make sure you measure on the input side of the LDO, not the output side. It's job it to keep the voltage constant. You will need a resistor divider to reduce the battery sense voltage to within the range of the PIC. Post the schematic of how you connected the PIC.
-
Re: Battery monitoring - ever tried AN1072?
The point is that the AN1072 method measures Vdd as supplied to the 16F690 - it is purely internal. If you want to measure some other voltage, like the battery side of the LDO you need to use a potential divider (for example) and an ADC inputs that accepts an external input.
George
-
1 Attachment(s)
Re: Battery monitoring - ever tried AN1072?
So I'll have to go for this one?
Attachment 8041
-
Re: Battery monitoring - ever tried AN1072?
Thank you George.
I did unfortunately not understand the AN the way you explain.
Let's go for a divider then ;)
-
Re: Battery monitoring - ever tried AN1072?
Is the 6V cast in amber? One of the may great features of the 690 is that it will run at 8Hz (convenient for internal clock) from 5.5V down to 2.0V.
George
-
Re: Battery monitoring - ever tried AN1072?
Thanks George,
The aim of the thread I started is to find a good solution to check the battery's condition regardless with what PIC it is used.
In my case, I'm building a cooking timer and I have a sounder that needs at least 5VDC. So I'll better know when the batteries get low or my eggs will be like stones ;)
-
Re: Battery monitoring - ever tried AN1072?
Hi Roger.
I like my egg like stones, but thats just me...!
About your circuit, you put a transistor I suppose to conserve energy while not measuring the battery, right?
But when the transistor is OFF, you drive a PIC input at 6 volts, higher than the specs, and also higher than the Vdd supply. So, the protection diodes of the input will forward the current to the PIC Vdd pin and you fry your PIC than your eggs!
Ioannis
-
Re: Battery monitoring - ever tried AN1072?
better off using higher value resistors to reduce the over all current draw of the voltage divider , but if you have too higher values the current will not be enough for accruate reading but after you do testing you will find the avg voltage range with the resistors used and you can apply that offset to the reading.
also use the inbuild voltage ref for the ad readings so that when you transfer between various input voltage on differnat pics , the same code and voltage tables can be used for either 10 bit or 12 bit ad cpus
-
Re: Battery monitoring - ever tried AN1072?
Quote:
the same code and voltage tables....
Just in case anyone should be put of by mention of tables, the math is real simple - VDD = 6144/Ad_Result (0.6 * 1024 = 614.4 - 10bit - result in 0.1V).
It will come as no surprise to here that Daryl posted this info.
George
-
1 Attachment(s)
Re: Battery monitoring - ever tried AN1072?
This is how I made it for now ;)
Vbatt is 6VDC (4x AAA batteries) and VREG is 5VDC (hence, VREG is the reference voltage).
To measure the batteries, I draw 10mA; this seems to be okay to me - if not okay, please suggest another current I should have.
Attachment 8046
-
Re: Battery monitoring - ever tried AN1072?
Roger, as I stated earlier, when the FET is OFF you supply +6 to the PIC pin. This is dangerous!
Ioannis
-
Re: Battery monitoring - ever tried AN1072?
Wow! I missed that!
What's the solution then? Shall I go with P-channel MOSFET?
-
Re: Battery monitoring - ever tried AN1072?
How about move the MOSFET above the junction of ADC_IN. Voltage drop across the MOSFET?
George
-
Re: Battery monitoring - ever tried AN1072?
George's idea maybe feasible but FET's specs should be examined in detail.
A P-channel I thing is best with the aid of second NPN transistor that will be driven from the PIC enable output.
If you need more help with the circuit, please ask.
Ioannis
-
2 Attachment(s)
Re: Battery monitoring - ever tried AN1072?
Is this an "acceptable" solution?
6V is battery voltage
5V is from PIC
Battery check is OFF:
Attachment 8050
Battery check is ON:
Attachment 8049
-
Re: Battery monitoring - ever tried AN1072?
Yes it is. In fact exactly what I was thinking to suggest you!
Only objection the values of the voltage divider. These are low and you will have much current drain. Since PIC ADC has a nominal input impedance of 10K you can increase by a factor of 10 the values. Say at 1k8 and 5k6.
Ioannis
-
Re: Battery monitoring - ever tried AN1072?
Thanks Ioannis.
By choosing the 180 and 560 values, I was thinking about drawing "enough" current out the batteries to get an as accurate as possible voltage reading (load = +/- 10mA).
10mA is "only" 1% of the batterie's capacity added to the few mA from the circuit, I think this is already low - but I'm not a battery expert, just knowing for sure that three minutes are okay for eggs :D
What do you think?
-
1 Attachment(s)
Re: Battery monitoring - ever tried AN1072?
for low battery draw, use high value r's and wait 5RC , that's 5 time constants between readings which allows 1 micro farad cap to charge to full divider value. That's 180K times 1X10to minus 6 which is about .2 seconds. The 1 micro farad is many times the cap value in the pic so it is an accurate reflection of the voltage and high r's draw micro amps from battery...... no switching on/off stuffAttachment 8051
-
Re: Battery monitoring - ever tried AN1072?
exactly what I was about to say, except cap should be 0.1 uf. This reduces your current to 8 uA.
-
Re: Battery monitoring - ever tried AN1072?
Quote:
Originally Posted by
amgen
... and wait 5RC , that's 5 time constants between readings (about .2 seconds)
So, if I get you right, no transistors at all, just two resistors, one cap. And then, launch the ADCIN command a few times with at least 0.2 seconds interval.
Correct?
-
Re: Battery monitoring - ever tried AN1072?
That was an example with the cap.
You SHOULD add the transistor!. Just use cap for more stable reading when R's are higher and have more time waitng for sampling. Also you do nothave to keep the divider active all the time, just for the few ms to read the AD valu. Then switch it off.
Ioannis
-
Re: Battery monitoring - ever tried AN1072?
Thanks Ioannis but what about the load?
-
Re: Battery monitoring - ever tried AN1072?
What load? I did not understood that.
Ioannis
-
Re: Battery monitoring - ever tried AN1072?
Honestly, you are coming up against traditional design tradeoffs. To be able to measure the battery reserve, how much battery capacity are you willing to burn vs cost of the circuit? Using just 2 high value resistors without the transistor can be almost as efficient as having the transistor in there when you consider leakage currents if the values are high enough, and simplify the circuit, simplify the software, and cost a few pennies less. The problem is that the input impedance of the pin could load the resistor divider if the values get too high, and of course the high values add a susceptibility to electrical noise. The cap helps with removing noise, and prevents the load caused by sampling to impact the result if the reading is taken fairly quickly compared to the time constant of the RC product. If you don't care about cost and a relatively minor increase in complexity, then use lower value resistors to make the parasitics less of an issue, and use the transistor to switch on the circuit. If you are not comfortable with analog design, then the transistor simplifies the math.
-
Re: Battery monitoring - ever tried AN1072?
Roger, do follow post #19 and just add a capacitor in parallel to the 560 resistor. A 1uF would be just fine. Or bigger if you have one.
This will give consistent AD values.
Thats all.
Ioannis
-
Re: Battery monitoring - ever tried AN1072?
Received loud and clear ;)
-
Re: Battery monitoring - ever tried AN1072?
also consider that the voltage drop from a 6v incoming source to your LDR output at 5v /pic is going to give you much margin (.5v at best ) before your looking to have to replace the batteries, no cos they are that low just cos your voltage usage margin is small
consider running the app at 3.3v , take a closer look at thge items that require the 5v externally to the PIC to look at using devices at 3.3v as this will give a larger usage margin for the batteries and device
just a thought
-
3,3VDC or 5VDC?
After my first tests, I changed my circuit from 3,3VDC to 5VDC hence accepting the "margin" reduction.
The project I'm working on now is a cooking timer and I have a piezo-sounder that sounds best (= loudest) at pseudo* 10VAC (*I use a full bridge inverter for higher volume).
BTW, I use a LP2950ACZ5.0 and it's dropout voltage is around 0,2V @ 10mA. 0,8V leave me far enough accuracy to determine when it is time to change the batteries ;)
-
1 Attachment(s)
ADCIN - how do I select the 0,6V Reference channel?
I still would like to know how to "read" the 0,6V (VP6) channel. This voltage reference is provided by the PIC itself.
If I set the ADSCON0 register to (i.e.) %10110100 (right just., VDD, 0,6V Reference, ADC is ON), what is the PICBASIC command to read that channel? If it is ADCIN, then ADCIN what?
Attachment 8056
I tried with:
because I see channels from 0 to 11 in the DS, maybe "0,6 V ref" would be the 13th...and PBP accepts the compilation but the ADCIN result shows always 0 :(
-
Re: ADCIN - how do I select the 0,6V Reference channel?
ADCIN x, myvar
where x is the AD channel where you connected the voltage divider we were talking before.
If it is on pin 18, channel 1 then x=1 and so on.
Ioannis
-
Re: Battery monitoring - ever tried AN1072?
I'm sorry, but I still don't understand :confused:
Looking at the ADC bloc diagram I've attached in post#1, I understand there is a "0,6V Reference" channel that I have to select to get an ADCIN result of 122 @ 5VDC or 186 @ 3,3VDC.
This channel doesn't seem to be linked to any pin of the PIC - this is confusing me at most.
Does this "0,6V Reference" channel really exist?
----
Hum...just found I have to ENABLE the 0,6Voltage Reference in VRCON register, bit 4 "VP6EN". I'll have a try in a moment...
-
Re: Battery monitoring - ever tried AN1072?
-
Re: Battery monitoring - ever tried AN1072?
Please post the program.
Ioannis
-
Re: Battery monitoring - ever tried AN1072?
This is the code of which I removed the "cooking timer" specific code placed after the DEBUG part. If you think it can help, I'll post the full code.
Code:
'-------------------------------------------------------------------------------
' PIC 16F690 Fuses (MPASM)
@ __config _FCMEN_OFF &_IESO_OFF &_CPD_OFF &_WDT_OFF &_HS_OSC &_BOR_OFF &_CP_OFF &_PWRTE_OFF &_MCLRE_OFF
'_INTRC_OSC_NOCLKOUT
'-------------------------------------------------------------------------------
' Registers 76543210
OPTION_REG = %10000110 'Pull-Ups OFF, Prescaler TMR0 1:128
ANSEL = %00010000 'Select analog inputs Channels 0 to 7
ANSELH = %00000000 'Select analog inputs Channels 8 to 11
WPUA = %00000000 'Select weak pull-ups
WPUB = %00000000 'Select weak pull-ups
ADCON0 = %10000001 'AD Module is ON, Channel 1
ADCON1 = %00000000 'AD control register
CM1CON0 = %00000000 'Comparator1 Module is OFF
CM2CON0 = %00000000 'Comparator2 Module is OFF
INTCON = %10100000 'INTerrupts CONtrol; GIE=1, T0IE=1
TRISA = %00000000 'Select Input/Output (0 to 5)
PORTA = %00000000 'Set High/Low (0 to 5)
TRISB = %00110000 'Select Input/Output (4 to 7)
PORTB = %00000000 'Set High/Low (4 to 7)
TRISC = %00000001 'Select Input/Output (0 to 7)
PORTC = %00000000 'Set High/Low (0 to 7)
'-------------------------------------------------------------------------------
' Defines
define OSC 8
DEFINE LCD_DREG PORTC 'LCD data port
DEFINE LCD_DBIT 4 'LCD data starting PORT.bit (0 or 4)
DEFINE LCD_RSREG PORTC 'LCD register select port
DEFINE LCD_RSBIT 3 'LCD register select bit
DEFINE LCD_EREG PORTC 'LCD enable port
DEFINE LCD_EBIT 2 'LCD enable bit
DEFINE LCD_BITS 4 'LCD bus size 4 or 8
DEFINE ADC_BITS 10 'Number of bits in ADCIN result
'-------------------------------------------------------------------------------
' Init display
' ELECTRONIC ASSEMBLY DOGM081 LCD display Mandatory settings
' See datasheet for circuitry changes by 5V or 3,3V operation
pause 1000 'Time to settle Vdd (THIS IS CRUCIAL!!!)
lcdout $FE, $29 'Function Set: 4 bits bus mode
lcdout $FE, $1C 'Bias set
lcdout $FE, $52 'Power control + Contrast (HiByte)(for 5V=$52 or 3,3V=55)
lcdout $FE, $69 'Follower control (5V=$69/3,3V=6D)
Lcdout $FE, $78 'Contrast (LowByte)
' Custom Characters
lcdout $FE,$28 'Function Set change - ONLY valid for ST7036 controller based LCDs
LCDOUT $FE,$40,$02,$06,$1A,$1A,$1A,$06,$02,$00 'Char 0 = Speaker
LCDOUT $FE,$48,$00,$0A,$0A,$00,$00,$11,$0E,$00 'Char 1 = Smile
LCDOUT $FE,$50,00,00,00,00,00,00,00,00 'Char 2
LCDOUT $FE,$58,14,27,17,17,17,17,31,00 'Char 3 = Battery 1/5 full
LCDOUT $FE,$60,14,27,17,17,17,31,31,00 'Char 4 = Battery 2/5 full
LCDOUT $FE,$68,14,27,17,17,31,31,31,00 'Char 5 = Battery 3/5 full
LCDOUT $FE,$70,14,27,17,31,31,31,31,00 'Char 6 = Battery 4/5 full
LCDOUT $FE,$78,14,31,31,31,31,31,31,00 'Char 7 = Battery 5/5 full
lcdout $FE,$29 'Function Set change
'-------------------------------------------------------------------------------
' Variables
CLEAR
SoftSwitch var PORTA.2
SoftSwitch = 1
Btn1xMinute var PORTB.4
Btn5xMinute var PORTB.5
'******* DEBUG ******
LED_Alarm var PORTB.6
LED_Alarm = 0
LED_RUN var PORTB.7
LED_RUN = 0
'******* DEBUG ******
Bat_Enable var PORTC.1
Bat_Enable = 0
Bat_Port var BYTE
Bat_Port = 4 'PORTC.0 - AN4
Bat_Level var byte 'for LCD character selection (3:7)
Bat_Level = 7
Bat_Value var word 'holds ADC value
Bat_Value = 0
Minutes var byte
minutes = 0
Seconds var byte
Seconds = 0
Ticks var byte
Ticks = 0
Dsp_Upd var bit 'Display Update Allowance
DSP_Upd = 1
Alarm var bit
Alarm = 0
Cnt_A var word
Cnt_a = 0
RUN var bit 'timer is running
RUN = 0
IdleCounter var byte 'counter that increments while timer is 00:00
IdleCounter = 0
'-------------------------------------------------------------------------------
' Start program
'******* DEBUG ******
TEST:
ADCIN 13, Bat_value
lcdout $FE,2,"B ",dec4 Bat_Value
GOTO TEST
'******* DEBUG ******
END
My question, in other words, is: how do I route the VP6 (0,6V Reference) to the ADCIN?
-
Re: Battery monitoring - ever tried AN1072?
Hi Roger.
I am looking now the latest Data sheet (version F) of the chip and it seems that this chip supports 0,6 Volt reference only for the comparator. The ADC can be referenced internally byt the VCC or externaly on pin 18.
Sorry for the late detailed reply. It is my fault I did not check the data sheet earlier.
So in your case you have to use the internal reference to Vcc (that is 5V in your case), with ADCON0 set as it is now and read the input on your pin, which I suppose is PortC.0 with the
ADCIN 4,Bat_Value (Not 13 as in your program).
The other option you may have, is to use the comparator, and when the voltage of the divider trips under the reference, to have an interrupt, or just look for the comparator out if it is set. But you cannot have the exact battery value.
Ioannis
-
Re: Battery monitoring - ever tried AN1072?
Quote:
this chip supports 0,6 Volt reference only for the comparator
Sorry, I don't think that is correct, or maybe I missed your point.
I have used 0.6v internal reference on several projects using the 690. And don't forget the original post was re. app note AN1072 which provides code for the 690.
George